التناسبية الكتلة الحجمية السادس ابتدائي
تقديم:
رغبة منا في مزيد من الفهم و التوضيح، نقدم لكم في مدونتكم هذه مجموعة من الشروحات لدروس في مختلف المستويات الدراسية و في مختلف المواد الدراسية ، وذالك بهدف تحقيق النجاح و التفوق.
في درسنا اليوم سنتطرق لشرح درس الرياضيات التناسبية الكتلة الحجمية للسنة السادسة ابتدائي ،العلاقة التي تربطها بالحجم والكتلة ، و كيفية حسابها.
نبدا اولا بتذكير بالحجم و كيفية حسابه .
الحجم
الحجم هو الحيز من فضاء معين اللذي تحتله كمية من المادة ، و نرمز له بالحرف V ،و حدته تكون ب mm³، cm³, dm³ او m³ نقوم بحسابه بالعلاقة التالية :
مثال :
ليكن لدينا متوازي مستطيلات طول قاعدته الصغرى l و طول قاعدته الكبرى L , و ارتفاعه هو H.
نحدد حجم متوازي المستطيلات بالعلاقة :
V=L×l×H
نفس القاعدة نطبقها لحساب الحجم في حالة المكعب.
الكتلة الحجمية
تعريف
لكل مادة معينة من الكون كثافة او كتلة حجمية معينة نعرفها كالتالي:
الكتلة الحجمية او الكثافة هي كمية المادة التي تحتل وحدة معينة من الحجم.
نرمز للكتلة الحجمية بالرمز ρ ، وحدتها kg/m³ ou g/cm³.
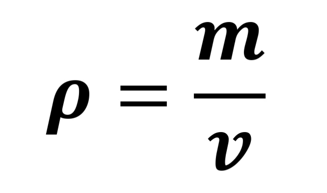
نقوم بحسابها بالعلاقة التالية :
بحيث m هي كتلة المادة و وحدتها هي g او kg .
v هو الحجم الذي تحتله كتلة المادة ونحدد وحدته ب m³ او cm³ .
- في حال معرفة الكتلة الحجمية ρ ،و الحجم v ,فنحسب الكتلة m بالعلاقة :
- في حالة معرفة الكتلة الحجمية ρ ، و الكتلة m , فنحسب الحجم v بالعلاقة التالية :
مثال :
ليكن لدينا متوازي مستطيلات ، بحيث طول قاعدته الصغرى 3cm=l,و طول قاعدته الكبرى L=4,5cm ,و ارتفاعه هو H=6cm
نملئه عن آخره ب كمية من الرمل كتلتها m=25g.
- احسب الحجم v لمتوازي المستطيلات .
- احسب الكتلة الحجمية ρ للرمل المتواجد بمتوازي المستطيلات.
- لدينا الحجم v لمتوازي المستطيلات هو:
v=l×L×H
=3×4,5×6=18cm³
2. لدينا متوازي المستطيلات مملوء عن آخره بالرمل اذن الحجم v لمتوازي المستطيلات يساوي حجم الرمل المتواجد به ، وبالتالي فإن الكتلة الحجمية ρ للرمل هي :
ρ= m/v
= 25g/18cm³ = 0,72 g/cm³ .



